Tabell 5.2 viser hvor mange pasienter som mottok de ulike tjenestene i løpet det første året etter utskrivning fra PHV-BU og antall kontakter/innleggelser per pasient.
Kommunale helse- og omsorgstjenester er vedtaksbaserte tjenester og hver kontakt blir ikke registrert, og for FACT-team er aktiviteten registrert per kalendermåned. Kontakter per pasient presenteres derfor ikke for disse tjenestene.
| Pasienter | Antall kontakter | Antall kontakter per pasient | ||
|---|---|---|---|---|---|
Antall | Andel | Sum | Gjennomsnitt | Median | |
Ny innleggelse i PHV | 775 | 46,4 | 2 014 | 2,6 | 2 |
Ø-hjelp innleggelser | 622 | 37,3 | 1 582 | 2,5 | 1 |
Poliklinisk kontakt PHV | 1 598 | 95,8 | 73023 | 45,7 | 37 |
Ambulant kontakt | 458 | 27,5 | 2 992 | 6,5 | 3 |
Samarbeidsmøte | 1 286 | 77,1 | 10 426 | 8,1 | 5 |
Kontakt fastlege | 1 586 | 95,1 | 17 429 | 11,0 | 8 |
Konsultasjon hos fastlege | 1 442 | 86,4 | 7 587 | 5,3 | 4 |
Kontakt legevakt | 1 346 | 80,7 | 7 715 | 5,7 | 3 |
Kontakt avtalespesialister | 41 | 2,4 | 1 472 | 35,9 | 12 |
Integrerte tjenester/FACT-team | 15 | 0,9 | - | - | - |
Kommunal helse- og omsorgstjeneste | 329 | 19,7 | - | - | - |
Nesten samtlige pasienter i utvalget hadde poliklinisk kontakt med PHV det første året etter utskrivning fra PHV-BU (1 598 pasienter), 1 286 hadde samarbeidsmøter og 458 pasienter ambulante tjenester. Det var også mange som hadde en konsultasjon hos fastlege (1 442 pasienter) og kontakt med legevakt (1 346 pasienter) i løpet av året etter utskrivning. For nesten samtlige var det registrert en kontakt med fastlege (1 586 pasienter)[11] i året etter utskrivning, og nær halvparten av pasientene hadde en ny innleggelse i psykisk helsevern (775 pasienter), de fleste hadde akutte innleggelser (622 pasienter). Færre hadde kontakt med kommunale helse- og omsorgstjenester (329 pasienter), og få pasienter var i kontakt med avtalespesialister (41 pasienter) og/eller FACT-team (15 pasienter) året etter utskrivning fra døgnbehandling. I figur 5.14 gjengis dette som andel pasienter i kontakt med de ulike tjenestene.
Kombinasjon av tjenester
De aller fleste pasientene hadde en kombinasjon av flere tjenester året etter utskrivning fra døgnopphold i PHV-BU. En stor andel hadde både poliklinisk kontakt med PHV og konsultasjon med fastlege (83 prosent). For de fleste var det var det en form for kontakt med fastlege11 i kombinasjon med poliklinisk kontakt med PHV og (92 prosent), og 44 prosent hadde i tillegg en ny innleggelse i PHV i løpet av året. Svært få hadde bare poliklinisk kontakt med PHV (1 prosent) eller kun kontakt med fastlegen (0,9 prosent) i løpet av året etter døgnopphold i PHV-BU.
Andel pasienter som var tjenestemottakere 365 dager etter utskrivning
I figur 5.14 til 5.20 presenteres andel pasienter med kontakt med tjenestene i løpet av ett år etter utskrivning for ulike pasientgrupper. Figurene viser variasjoner med hensyn til utskrivningsdiagnose, kjønn, alder og pasientens bosted.

Figuren viser at nesten alle pasienter hadde poliklinisk kontakt med psykisk helsevern i løpet av det første året etter utskrivning fra PHV-BU (96 prosent), mens 28 prosent hadde ambulante kontakter. Nær halvparten av pasientene (46 prosent) hadde en ny innleggelse i samme periode, og over 80 prosent en konsultasjon med fastlege (86 prosent) og/eller legevakt (81 prosent). En av fem (20 prosent) hadde kommunale helse- og omsorgstjenester i løpet av det første året etter døgnopphold i PHV-BU. Dette var i hovedsak avlastning, helsetjenester i hjemmet og støttekontakt.
Diagnose
Det var variasjoner i kontakt med tjenestene for pasienter med ulike diagnoser i løpet av året etter utskrivning fra psykisk helsevern, spesielt når det gjaldt ny innleggelse, ambulante tjenester og kommunale helse- og omsorgstjenester. Det var større bruk av disse tjenestene blant pasienter med schizofreni lidelser (F2) enn blant pasienter med andre diagnoser. Diagnose-kategoriene er synliggjort ved fargede punkter i figuren.
Mens 76 prosent av pasienter med schizofreni lidelser (F2) hadde en ny innleggelse i PHV i løpet av det første året etter utskrivning, varierte andelen med et nytt døgnopphold i PHV mellom 44-57 prosent for pasienter i de andre diagnose-kategoriene.
Det var mindre variasjon i kontakt med PHV og fastlegen i året etter utskrivning. Mens nær 90 prosent av pasienter med atferdsforstyrrelser hadde en konsultasjon hos fastlegen, var det 80 prosent av pasienter med diagnosen schizofreni som hadde en fastlegekonsultasjon i løpet av de første 365 dagene etter utskrivning.
Det var noe større variasjon i kontakten med legevakt. I løpet av det første året etter utskrivning var det en høyere andel med legevaktkontakt blant pasienter med affektive lidelser og atferdsforstyrrelser (86 prosent) enn blant pasienter med spiseforstyrrelser (72 prosent).
Variasjon mellom ulike diagnosekategoriene blir nærmere omtalt i kapittel 7.
Kjønn
Figur 5.15 viser hvordan kontakt med ulike tjenester etter utskrivning var fordelt på kjønn.

Det var en tydelig tendens at andelen pasienter med tjeneste-kontakt var høyere blant jenter enn gutter det første året etter utskrivning fra døgnopphold i PHV-BU. Unntaket var kontakt med ambulante tjenester og kommunale helse- og omsorgstjenester, hvor det var motsatt.
Mens halvparten av jentene hadde en ny innleggelse i løpet av det første året etter utskrivning, gjaldt dette for 36 prosent av guttene. Selv om kjønnsforskjellene var mindre for de andre tjenestene, var det samme tendens; en større andel jenter hadde poliklinisk kontakt med psykisk helsevern, kontakt med fastlege, legevakt og avtalespesialister enn gutter.
Alder
Figur 5.16 viser hvordan kontakt etter utskrivning var fordelt på alder. Barn i alderskategorien 0-5 år utgjorde svært få pasienter, og er derfor utelatt fra figuren.

Bruk av tjenester det første året etter utskrivning var lavere blant barn (6-12 år) enn ungdom (over 12 år). Unntaket var kommunale helse- og omsorgstjenester hvor flere blant de yngre (6-12 år) og eldre (over 17 år) hadde tjenester etter utskrivning fra PHV-BU.
Region
Figur 5.17 viser hvordan kontakt etter utskrivning var fordelt på bostedsregion.

Det var en lavere andel pasienter med kontakt med psykisk helsevern blant pasientene i Helse Midt-Norge sammenliknet med de andre regionene i løpet av det første året etter døgnbehandling i PHV-BU. Dette gjaldt både i form av ny innleggelse og poliklinisk/ambulant kontakt.
Andelen med konsultasjon hos fastlege var imidlertid noe høyere blant pasienter bosatt i Helse Midt-Norge (89 prosent) og Helse Vest (88 prosent) sammenliknet med de andre regionene (84-85 prosent). Pasienter fra Helse Vest hadde også den høyeste andelen pasienter i kontakt med legevakt det første året etter utskrivning.
Kontakt med kommunale helse- og omsorgstjenester var relativt høyere blant pasienter i Helse Nord (26 prosent) enn i de andre regionene (17-21 prosent).
Disse variasjonene kan blant annet være knyttet til ulik pasientsammensetning i regionene, hvor det blant annet var en høyere andel gutter og yngre pasienter i Helse Midt-Norge enn de øvrige regionene.
Helsefellesskap
Figur 5.18 til figur 5.20 viser hvordan kontakt etter utskrivning var fordelt på helsefellesskapsområde.

Det var stor variasjon mellom helsefellesskapsområdene i andel pasienter med ny innleggelse i løpet av det første året etter utskrivning fra PHV-BU, fra 28 prosent i Nordre Trøndelag til 66 prosent i Lofoten, Vesterålen og Salten. Det var relativt lavere andeler med ny innleggelse i helsefelleskapsområdene i Midt-Norge og relativt høyere andeler i områdene i Nord sammenliknet med landet samlet. Unntaket var Troms og Ofoten (40 prosent) som hadde omtrent samme nivå som helsefelleskapsområdene knyttet til byene Trondheim (43 prosent) og Bergen (40 prosent).
Andel pasienter med akuttinnleggelser, som er syngjort i figuren med oransje punkter, varierte også betydelig mellom helsefellesskapsområdene, fra 13 prosent av pasientene i Nordre Trøndelag til 58 prosent av pasientene i Agder.
Figur 5.19 viser andel pasienter med konsultasjon hos fastlege og figur 5.20 andel med kontakt med legevakt i løpet av 365 dager etter utskrivning fordelt etter pasientenes helsefellesskapsområde.


Det var begrenset variasjon mellom helsefelleskapsområdene i andel pasienter med konsultasjon hos fastlege (fra 81 til 90 prosent). Andel pasienter med kontakt med legevakt varierte noe mer mellom helsefelleskapsområdene, fra 74 prosent (Innlandet, Sogn og Fjordane) til 98 prosent (Vestfold) i løpet av 365 dager etter utskrivning.
Kontakter per pasient 365 dager etter utskriving
Figur 5.21 viser omfang av kontakter per pasient i løpet av det første året etter utskrivning fra døgnbehandling, og spredningen mellom pasientene for ulike tjenester. Boksplottene viser verdiene for 50 prosent av pasientene ved streken i boksen (median). Øvre og nedre del av boksen viser verdiene for 25 og 75 prosent av pasientene, og øvre strek viser øvre trimpunkt, som er den estimerte verdien for 95 prosent av pasientene.

Pasientene mottok 37 polikliniske kontakter per pasient i PHV det første året etter utskrivning fra døgnbehandling i PHV-BU, målt i median antall kontakter (vist som strek i boksen). I samme periode hadde pasientene to nye innleggelser i PHV og fire konsultasjoner hos fastlegen. Pasientene hadde tre kontakter hos legevakt året etter utskrivning og fem samarbeidsmøter, målt i median antall kontakter.
Boksplottene viser at spredningen i antall kontakter per pasient varierte for de ulike tjenestene. Mens det var stor variasjon i hvor mange polikliniske kontakter i PHV pasientene hadde i løpet av året etter utskrivning, var det mindre variasjon for de andre tjenestene.
Bokplottet for polikliniske kontakter i PHV viser stor spredning. Verdien for nedre kvartil var 19 kontakter og øvre kvartil 60 kontakter. Dette betyr at 25 prosent av pasientene hadde 19 eller færre kontakter og 75 prosent av pasientene hadde 60 eller færre kontakter. Øverste strek som viser øvre trimpunktet (estimert 95 prosent), viser at 95 prosent av pasientene hadde opp til 122 kontakter eller at fem prosent hadde mer enn 122 kontakter.
Boksplottet for nye innleggeseler i PHV, som viser medianverdi på to nye innleggelser per pasient i løpet av året, viser at øvre trimpunktet var seks innleggelser. Dette betyr at fem prosent av pasientene hadde mer enn seks nye innleggelser i løpet av det første året etter utskrivning fra PHV-BU.
For de andre tjenestene var spredningen mindre, og 95 prosent av pasientene hadde opp til 12 kontakter med legevakt, 29 kontakter med fastlege og 15 konsultasjoner med fastlege.
Polikliniske kontakter per pasient i PHV – variasjon
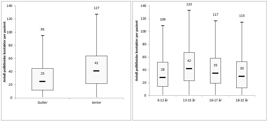
Det var stor variasjon i hvor mange polikliniske kontakter pasientene mottok i PHV i løpet av året etter utskrivning, og mindre variasjon for de andre tjenestene. Figur 5.22 til 5.25 viser hvordan polikliniske kontakter var fordelt i forhold til pasientenes kjønn, alder, bosted og utskrivningsdiagnose.
Jenter (41 kontakter) hadde flere polikliniske kontakter enn gutter (25 kontakter) i løpet av året etter utskrivning fra PHV-BU, målt i median antall kontakter. Det var også større spredning blant jenter enn gutter. Aldersgruppen 13-15 år hadde flere polikliniske kontakter (42 kontakter, median) enn de andre aldersgruppene (28-35 kontakter), og større spredning i antall kontakter mellom pasientene.

Pasienter i Helse Sør-Øst (45 kontakter) og Helse Vest (39 kontakter) hadde flere kontakter per pasient enn pasientene i Helse Midt-Norge (29 kontakter) og Nord (29 kontakter) året etter utskrivning fra PHV-BU (median). Spredningen i kontakter per pasient var også større i Helse Sør-Øst og Helse Vest.

Figuren viser at pasienter bosatt i alle helsefelleskapsområder i Helse Sør-Øst hadde flere polikliniske kontakter per pasient enn pasienter bosatt i helsefelleskapsområder i Midt-Norge og Nord, målt i median antall kontakter. Med unntak for Sogn og Fjordane, hadde også helsefelleskapsområdene i Helse Vest flere polikliniske kontakter per pasient enn i Midt-Norge og Nord. Spredningen i kontakter per pasient var også størst i helsefelleskapsområdene i Helse Sør-Øst og Helse Vest.
Pasienter bosatt i Vest-Viken hadde flest polikliniske kontakter i løpet av det første året etter utskrivning (median). I dette helsefelleskapsområdet hadde 50 prosent av pasientene 59 polikliniske kontakter i løpet av første året etter utskrivning, mens pasienter fra Sogn og Fjordane (23 kontakte), Nordre Trøndelag (22 kontakter) og Finnmark (24 kontakter) hadde betydelig færre kontakter per pasient.

Boksplottene viser at pasienter med spiseforstyrrelser (F5) og pasienter med schizofrenier (F2) hadde flest polikliniske kontakter med PHV det første året etter utskrivning fra PHV-BU, målt i median antall kontakter. Mens halvparten av pasientene med disse diagnosene hadde 53 kontakter med PHV i løpet av året etter utskrivning, hadde pasienter med nevrotiske lidelser (F4) og hyperkinetiske-/atferdsforstyrrelser henholdsvis 32 og 35 kontakter med PHV. Det var størst spredning i antall kontakter blant pasienter med spiseforstyrrelser.
[11] Kontakt med fastlege omfatter i tillegg til ordinær konsultasjon dialog med eksterne, enkle kontakter (med og uten pasient til stede), sykebesøk og administrative kontakter relatert til pasienten.