For å belyse starten av pasientenes forløp etter døgnbehandling i PHV-BU, presenteres hvilke tjenester pasientene var i kontakt den første måneden etter utskrivning og omfanget av disse tjenestene.
Tabell 5.1 viser antall pasienter og omfang av kontakter per pasient første måned etter utskriving. Kommunale helse- og omsorgstjenester er vedtaksbaserte tjenester og hver kontakt blir ikke registrert, kontakter per pasient presenteres derfor ikke for disse tjenestene.
| Pasienter | Antall kontakter | Antall kontakter per pasient | ||
|---|---|---|---|---|---|
Antall | Andel | Sum | Gjennomsnitt | Median | |
Ny innleggelse i PHV | 254 | 15,2 | 301 | 1,2 | 1 |
Ø-hjelp innleggelser | 190 | 11,4 | 229 | 1,2 | 1 |
Poliklinisk kontakt | 1 438 | 86,2 | 9 991 | 6,9 | 5 |
Ambulant kontakt | 167 | 10,0 | 431 | 2,6 | 1 |
Samarbeidsmøte | 640 | 38,4 | 1 485 | 2,3 | 2 |
Kontakt fastlege | 799 | 47,9 | 1792 | 2,2 | 2 |
Konsultasjon hos fastlege | 444 | 26,6 | 644 | 1,5 | 1 |
Kontakt legevakt | 488 | 29,3 | 933 | 1,9 | 1 |
Kontakt avtalespesialister | 27 | 1,6 | 336 | 12,4 | 8 |
Kommunal helse- og omsorgstjeneste | 179 | 10,7 | - | - | - |
Blant de 1 668 pasientene som ble utskrevet fra døgnbehandling i PHV-BU i 2021, hadde de fleste pasientene poliklinisk kontakt den første måneden etter utskrivning (1 438 pasienter). Blant disse hadde nær halvparten samarbeidsmøte (640 pasienter) i løpet av de 30 første dagene. Nær en av tre var i kontakt med legevakt (488 pasienter) eller hadde en konsultasjon hos fastlege (444 pasienter) i samme periode. For omtrent halvparten av pasientene var det imidlertid registrert en kontakt[9] med fastlege (799 pasienter) de første 30 dagene etter utskrivning. Noen hadde også en ny innleggelse i psykisk helsevern (254 pasienter) i dette tidsrommet. Færre hadde kontakt med kommunale helse- og omsorgstjenester (179 pasienter) eller ambulante tjenester (167 pasienter), og få pasienter hadde kontakt med avtalespesialister (27 pasienter) i løpet av den første måneden etter avsluttet døgnopphold i psykisk helsevern. I figur 5.3 gjengis dette som andel pasienter i kontakt med de ulike tjenestene.
Kombinasjon av tjenester
Relativt mange pasienter hadde kun poliklinisk kontakt med psykisk helsevern den første måneden etter døgnopphold i PHV-BU (30 prosent). Det var imidlertid mer vanlig med en kombinasjon av flere tjenester, og en større andel hadde både poliklinisk kontakt med PHV og kontakt med fastlege (41 prosent) i starten av forløpet. En langt mindre andel hadde kun kontakt med fastlegen (3 prosent) eller legevakt (1 prosent) den første måneden etter utskrivning fra døgnbehandling i PHV-BU.
Andel pasienter som var tjenestemottakere 30 dager etter utskrivning
I figur 5.3 til 5.6 presenteres andel pasienter med kontakt med tjenestene 30 dager etter utskrivning for ulike pasientgrupper. Andel pasienter med samarbeidsmøte omtales i eget avsnitt. Figurene viser variasjoner med hensyn til utskrivningsdiagnose, kjønn, alder og pasientens bosted.

Figuren viser at en 86 prosent av pasientene hadde poliklinisk kontakt med psykisk helsevern i løpet av første måned etter utskrivning fra PHV-BU[10]. Videre hadde 15 prosent en ny innleggelse i samme periode, og 27 prosent en konsultasjon med fastlege. For nær halvparten av pasientene var det imidlertid registrert en kontakt hos fastlegen (48 prosent)8. En mindre andel hadde kontakt med kommunale helse- og omsorgstjenester (11 prosent) i måneden etter utskrivning fra PHV-BU. Dette var i hovedsak tjenester som avlastning, helsetjenester i hjemmet og støttekontakt.
Diagnose
Punktene i figur 5.3 synliggjør variasjon i tjeneste-kontakt mellom pasienter med ulike diagnoser i måneden etter utskrivning fra psykisk helsevern. Mens 21-22 prosent av pasienter med schizofrenier (F2) og spiseforstyrrelser (F5) hadde en ny innleggelse i løpet av den første måneden etter utskrivning, hadde 12 prosent av pasienter med nevrotiske lidelser (F4) et nytt døgnopphold i PHV innen 30 dager.
Det var også variasjon i kontakt med fastlegen i måneden etter utskrivning. Mens nær 30 prosent av pasienter med affektive lidelser, nevrotiske lidelser og hyperkinetiske-/atferdsforstyrrelser hadde en konsultasjon hos fastlegen, hadde 14 prosent av pasienter med diagnosen schizofreni en fastlegekonsultasjon i løpet av de første 30 dagene etter utskrivning.
Mens en høy andel av pasientene hadde poliklinisk kontakt med PHV etter utskrivning i samtlige utvalgte diagnosekategorier, var det større variasjon i kontakten med legevakt. I løpet av den første måneden etter utskrivning var det over dobbelt så høy andel med legevaktkontakt blant pasienter med hyperkinetiske-/atferdsforstyrrelser (41 prosent) sammenliknet med pasienter med spiseforstyrrelser (19 prosent).
Kjønn
Figur 5.4 viser hvordan kontakt etter utskrivning var fordelt på kjønn.

I løpet av den første måneden etter utskrivning fra døgnopphold i PHV-BU, var det en gjennomgående høyere andel jenter enn gutter som hadde kontakt med ulike tjenester. Unntaket var kontakt med kommunale helse- og omsorgstjenester, hvor det var motsatt. En høyere andel gutter (16 prosent) enn jenter (9 prosent) hadde denne tjenesten.
Mens om lag 16 prosent av jentene hadde en ny innleggelse i løpet av første måned etter utskrivning, gjaldt dette for 12 prosent av guttene. Samme tendens ser vi for de andre tjenestene, en større andel av jentene hadde poliklinisk kontakt med psykisk helsevern, kontakt og konsultasjon med fastlege, legevakt og avtalespesialister.
Alder
Figur 5.5 viser kontakt etter utskrivning fordelt på aldersgrupper. Barn i alderskategorien 0-5 år er utelatt fra figuren på grunn av lavt antall pasienter.

Figuren viser at bruk av tjenester også varierte med pasientenes alder. Hovedtendensen var at andelen som var i kontakt med de ulike tjenestene økte med økende alder med unntak for kommunale helse- og omsorgstjenester hvor barn (6-12 år) og pasienter over 18 år hadde den høyeste andelen. Poliklinisk kontakt i PHV og kontakt med fastlege/legevakt var betydelig lavere for barn (6-12 år) enn ungdom (13 år og over) i første del av forløpet etter utskrivning fra døgnopphold.
Bosted
Figur 5.6 viser kontakt etter utskrivning fordelt på pasientens bostedsregion.

I løpet av 30 dager etter utskrivning fra døgnopphold i PHV-BU, var det en tydelig lavere andel pasienter med kontakt med psykisk helsevern blant pasientene fra Helse Midt-Norge sammenliknet med de andre regionene. Dette gjaldt spesielt for ny innleggelse i PHV, men også poliklinisk kontakt. Andelen pasienter i kontakt med fastlege og legevakt var også noe lavere blant pasienter i Helse Midt-Norge, mens pasienter i Helse Vest hadde den høyeste andelen pasienter i kontakt med legevakt og avtalespesialister. Dette kan blant annet være knyttet til kjønns- og aldersfordelingen i regionene, andelen gutter og yngre pasienter var for eksempel høyere i Helse Midt-Norge enn i de øvrige regionene.
Samarbeidsmøte
Ved utskrivning fra psykisk helsevern, vil informasjon og samhandling med andre tjenester og instanser være sentralt for det videre forløpet. I NPR-data er det rapportert informasjon om oppfølgingssamtaler og samarbeidsmøter om pasientene mellom spesialisthelsetjenesten og kommunal eller annen ekstern tjeneste. Figur 5.7 viser andel pasienter som hadde denne type samarbeidsmøte på ulike tidspunkt i forløpet.

Andel pasienter med samarbeidsmøte økte utover i forløpet, fra 19 prosent i løpet av første uke etter utskrivning til 77 prosent i løpet av året. Noen hadde også samarbeidsmøte samme dag som utskrivningen (5 prosent). Det var i hele perioden en større andel pasienter med samarbeidsmøte i Helse Sør-Øst enn i de andre regionene. Pasientene i Helse Nord hadde den laveste andelen etter 7, 30 og 90 dager, men i løpet av året var de på nivå med landet samlet (77 prosent).
I figuren under er andelen pasienter med samarbeidsmøte etter 30 dager gjengitt per helsefelleskapsområde.

Det var til dels store variasjoner mellom pasienter fra de ulike helsefellesskapsområdene i andel med samarbeidsmøte etter 30 dager, fra 19 prosent i Lofoten, Vesterålen og Salten til 60 prosent i Vest-Viken. For landet samla hadde 38 prosent hatt et samarbeidsmøte i løpet av første måneden etter utskrivning.
Kontakter per pasient 30 dager etter utskriving
Figur 5.9 viser spredningen i omfang av kontakter mellom pasientene for de ulike tjenestene. Boksplottene viser verdiene for 50 prosent av pasientene ved streken i boksen (median). Øvre og nedre del av boksen viser verdiene for 25 og 75 prosent av pasientene, og øvre strek viser øvre trimpunkt, som er den estimerte verdien for 95 prosent av pasientene.
Kontakt med avtalespesialister var på grunn av få pasienter utelatt fra figuren, og kommunale helse- og omsorgstjenester er vedtaksbaserte tjenester (ikke antall kontakter som registreres), og er ikke egnet for å fremstilles på denne måten.

Pasientene hadde fem polikliniske kontakter per pasient i PHV den første måneden etter utskrivning fra døgnbehandling i PHV-BU, målt i median antall kontakter som angir verdien for halvparten av pasientene (vist som strek i boksen). I samme periode hadde pasientene to samarbeidsmøter, én ny innleggelse i PHV, og én konsultasjon hos fastlegen. Pasientene hadde også én kontakt hos legevakt de 30 første dagene etter utskrivning, målt i median antall kontakter.
Boksplottene viser at det var ulik spredningen i antall kontakter per pasient mellom tjenestene. Mens det var relativ stor variasjon i hvor mange polikliniske kontakter i PHV pasientene hadde måneden etter utskrivning, var det mindre variasjon for de andre tjenestene.
For polikliniske kontakter i PHV viser boksplottet relativ stor spredning. Verdien for nedre kvartil var tre kontakter og øvre kvartil ni kontakter, dette betyr at 25 prosent av pasientene hadde opptil tre kontakter og 75 prosent av pasientene hadde ni eller færre kontakter. Medianverdien som viser verdien for 50 prosent av pasientene, var som tidligere omtalt fem polikliniske kontakter. Øvre strek gjengir øvre trimpunkt (estimert 95 prosent), og viser at fem prosent av pasientene hadde over 18 kontakter første måned etter utskrivning fra PHV-BU.
Boksplottet for nye innleggelser i PHV viser liten spredning mellom pasientene, svært få pasienter hadde mer enn én ny innleggelse i PHV første måned etter utskrivning (2,3 prosent av alle pasienter). For de andre tjenestene var det også relativt liten variasjon i antall kontakter per pasient.
Polikliniske kontakter per pasient i PHV – variasjon
Figuren over viste at det var relativ stor variasjon i hvor mange polikliniske kontakter i PHV pasientene hadde måneden etter utskrivning, og mindre variasjon for de andre tjenestene. Figur 5.10 til 5.13 viser derfor fordelingen av polikliniske kontakter i PHV i forhold til pasientenes kjønn, alder, bosted og utskrivningsdiagnose.
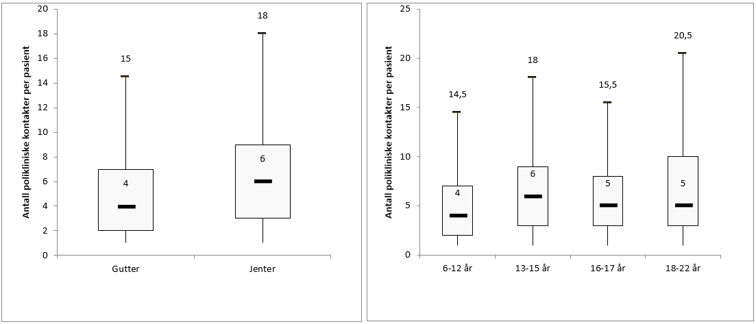
Jenter (6 kontakter) hadde flere polikliniske kontakter enn gutter (4 kontakter) i løpet av første måned etter utskrivning fra PHV-BU, målt i median antall kontakter. Det var også noe større spredning i antall kontakter blant jenter enn gutter. Aldersgruppen 13-15 år hadde flere polikliniske kontakter (6 kontakter) enn de andre aldersgruppene (4-5 kontakter).

I løpet av 30 dager etter utskrivning fra PHV-BU hadde pasienter bosatt i Helse Sør-Øst (6 kontakter) og Helse Vest (6 kontakter) flere polikliniske kontakter per pasient enn pasientene fra Helse Midt-Norge (4 kontakter) og Nord (4 kontakter), målt i median antall kontakter. Spredningen i kontakter per pasient var også større i disse regionene, spesielt i Helse Sør-Øst.

Pasienter bosatt i Vest-Viken hadde flest polikliniske kontakter i PHV første måned etter utskrivning, målt i median antall kontakter (10 poliklinisk kontakter). Spredningen var også størst i dette helsefelleskapsområde. Ellers var det betydelig variasjon mellom helsefelleskapsområdene i antall polikliniske kontakter per pasient (3-8 kontakter) i starten av forløpet etter utskrivning.
Diagnose

Boksplottene viser at pasienter med spiseforstyrrelser (F5), hadde flest polikliniske kontakter i PHV første måned etter utskrivning, målt i median antall kontakter. Mens halvparten av pasientene med denne diagnosen hadde 8 kontakter med PHV i måneden etter utskrivning, hadde pasienter med atferdsforstyrrelser 4 kontakter. Det var også størst spredning i antall kontakter blant pasienter med spiseforstyrrelser.
[9] Kontakt med fastlege omfatter i tillegg til ordinær konsultasjon dialog med eksterne, enkle kontakter (med og uten pasient til stede), sykebesøk og administrative kontakter relatert til pasienten.
[10] Polikliniske kontakter i PHV samme dag som utskrivningen er utelatt i beregning av andel pasienter med poliklinisk kontakt. Dette er omtalt nærmere i kapittel 3.