For alle stadier under ett var 5-års relativ overlevelse 30 % i 2022 (27 % for menn og 34 % for kvinner) (Figur 6). Median overlevelse har økt fra 8,4 mndr i 2010 til 16,8 mndr i 2022.

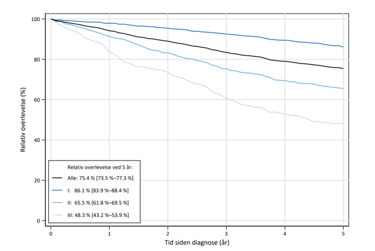
De fleste langtidsoverlevende er operert, men overlevelse for opererte korrelerer med stadium, fra 86 % i stadium I, til 48,3 % i stadium III (Figur 7). For lungekreftopererte er risikoen større for å dø av lungekreft enn av andre årsaker selv mer enn 5 år etter operasjonen (Bugge et al., 2018). Pasienter som har fått stereotaktisk strålebehandling kan også forvente god overlevelse (Brustugun et al., 2018). I 2021 var 5-års relativ overlevelse uavhengig av behandling for stadium I 70,8 %, 49,3 % for stadium II og 22,9 % i stadium III. For pasienter i stadium IV er median overlevelse for 75-prosentilen over 15 mndr, mens median fortsatt er lav, ca 6 mndr.

For ytterligere detaljer omkring lungekreftepidemiologien henvises til Nasjonalt kvalitetsregister for lungekreft.