Estimert andel sykehusopphold med minst én pasientskade
For hvert GTT-team presenteres estimat for andel sykehusopphold med minst én pasientskade per år, sammen med 95 prosent konfidensintervall, som belyser estimatets usikkerhet.
Andel sykehusopphold med minst én pasientskade er beregnet som følger:
(Totalt antall sykehusopphold med minst én skade / totalt antall undersøkte sykehusopphold) ∗100
95 prosent konfidensintervall for årlige estimater er beregnet ved å trekke tilfeldig med tilbakelegging 100 000 ganger fra datasettet med antall sykehusopphold (journaler) med minst én pasientskade for et gitt år (24 observasjoner per år).
Tilbakelegging innebærer at én observasjon kan trekkes flere ganger. Andel sykehusopphold med minst én pasientskade for trukket datasett beregnes. Dette gir 100 000 verdier for den årlige andelen og 95 prosent konfidensintervall er gitt ved 2,5 og 97,5 percentiler fra disse.
Kontrollgrafer
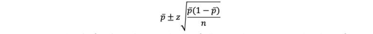
De røde og blå linjene er usikkerhetsintervaller for referanseverdiene, og utgjør kontrollgrenser for de glattede dataene. Kontrollgrensene for en prosentandel beregnes på følgende måte [12]

Gjennomsnittsverdien for året før, p̃, beregnes basert på alle journalene som var undersøkt det året. De fleste team undersøker 240 journaler per år (10 journaler i 24 perioder). Siden kontrollgrensene gjelder for glattede data, er n=100 (antall observasjoner det glidende gjennomsnittet er basert på). Vi antar her at gjennomsnittverdien, p, gjelder for alle perioder i inneværende år, selv om de glattede dataene er basert på data fra to ulike år i starten av hvert år. (Standardavviket til gjennomsnittet for data fra en binomisk fordeling med sannsynlighet p̃ er:

Størrelsen z settes som oftest til 3 i beregning av kontrollgrenser. Vi har i tillegg valgt å vise kontrollgrensene basert på z=2 i figurene. Kontrollgrensene er begrenset til å være mellom 0 og 100. Dersom formelen over gir et negativt tall settes grensen til 0. Dersom formelen over gir et tall større enn 100 settes grensen til 100. De to røde linjene og de to blå linjene markerer altså henholdsvis 2 og 3 standardavvik over og under referanseverdien. For team som trekker flere enn 10 journaler per periode vil de glattede dataene være basert på flere observasjoner (f.eks. 200, om det trekkes 20 journaler per periode).
Dersom antall journaler som undersøkes i hver periode øker i løpet av tidsperioden som plottes, vil kontrollgrensene i en overgangsperiode ikke være horisontale, men gradvis danne et smalere «bånd». Dette skyldes at det glidende snittet gradvis er basert på flere datapunkter. Etter 10 perioder vil grensene igjen være horisontale.
[12] Mohammed MA, Worthington P, Woodall WH. Plotting basic control charts: tutorial notes for healthcare practitioners. Qual Saf Health Care 2008;17:137-145